熱式氣體質量流量計
發布日期:2019-04-04 瀏覽次數:94
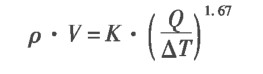
熱式氣體質量流量計是利用熱擴散原理測量氣體質量流速的流量計,其測量的基本原理是將一個加熱的發熱體放在氣體流場中,通過計算發熱體的溫度變化和熱量損失來計算氣體的流量,具體可以用下述公式表示 :

式 中 :p為氣體密度;V為氣體流速;k為比例系數;Q為熱流量 ;△T為溫差
微觀上 , 當氣體分子接觸 “ 發熱體 ” 時 , 就帶走一份 “ 熱量” , 這份 “ 熱量” 的大小取決于 氣體分子的種類和氣體分子原來的 “ 溫度 ” ; 在宏觀上 , 單位時間與 “ 發熱體 ” 接觸的分子個數 , 宏觀上就是氣體在 “ 發熱體” 處的速度,氣體的 質量流量可以通過測量發熱端的熱量損失間接地得到 。
熱式氣體質量流量計特點:
測量的是氣體的質量流量 , 精度髙、 壓損小、 能適合大口徑、 量程比髙 , 對小流量氣體測量性能好 , 測量與壓力變化不敏感 ; 這些優點表明 , 熱式氣體質量流量計適于鍋爐風量的測量 。
版權所有:http://www.dgrsjs.com.cn長征儀表(金湖)有限公司 轉載請注明出處
標簽:技術支持
上一篇:楔形流量計特點級應用
下一篇:金屬管浮子流量計流量換算
【更多案例】:
- 推薦資訊
-
- 熱點資訊
- 查看全部資訊>


長征儀表 咨詢電話:
TEL:18994599789





